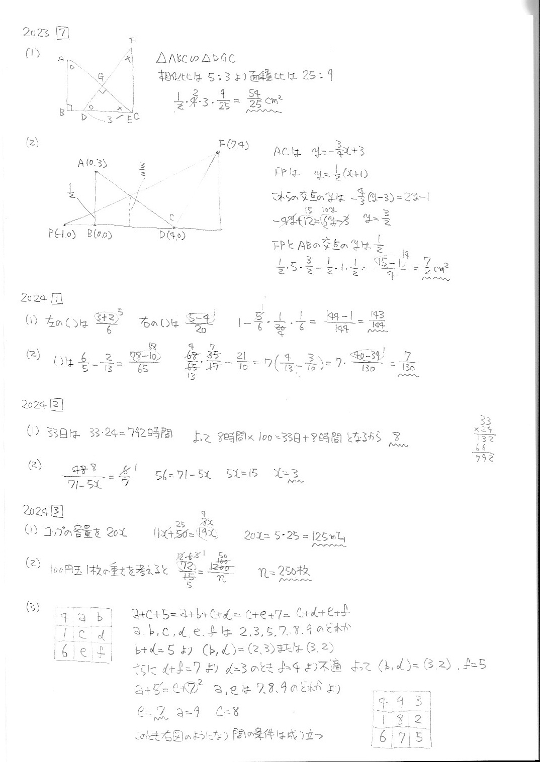
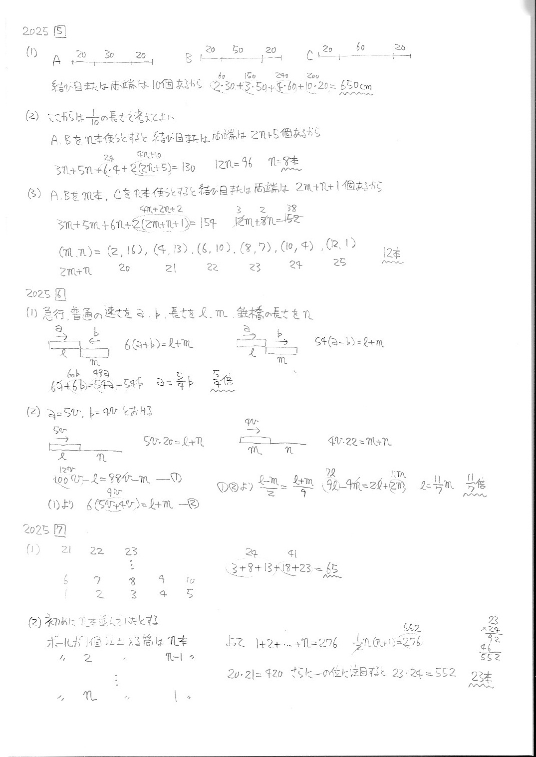
http://server-test.net/sansuu/


  智辯学園和歌山中学校・前期・算数・2019年〜2025年











































  トップページ