http://server-test.net/sansuu/kogakukan/

旧帝大(東大、京大、北大、東北大、名大、阪大、九大)+東工大 数学過去問はこちら

その他の中学校 算数過去問私的解答はこちら

作者のブログはこちら


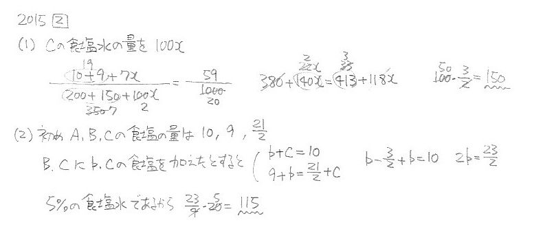
弘学館中学校 2015年度 算数