http://server-test.net/sansuu/kaijo/

旧帝大(東大、京大、北大、東北大、名大、阪大、九大)+東工大 数学過去問はこちら

その他の中学校 算数過去問私的解答はこちら

作者のブログはこちら


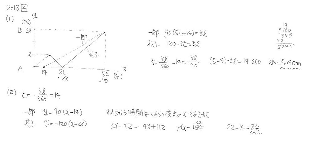
海城中学校・一般入試1 2018年度 算数 大問2